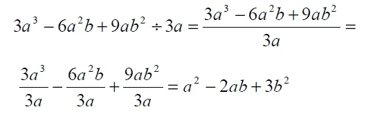
Se divide cada uno de los términos del polinomio por el monomio separando los cocientes parciales con sus propios signos. Esta es la ley distributiva de la división.
Ejemplo:
Dividir:
![]()
Solución:

Fuente: Apunte de matemáticas básicas de la UNIDEG.
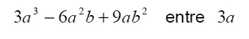
Se divide cada uno de los términos del polinomio por el monomio separando los cocientes parciales con sus propios signos. Esta es la ley distributiva de la división.
Ejemplo:
Dividir:
![]()
Solución:

Fuente: Apunte de matemáticas básicas de la UNIDEG.